Skip to content Skip to sidebar Skip to footer

How To Calculate Sigma : Gather the required information for calculating dpmo.

How To Calculate Sigma : Gather the required information for calculating dpmo.. When we used the whole population we got: How do you determine sigma level? You might also like to read the more advanced topic partial sums. You don't have to eat the whole animal to know that the meat is tough. this is the essential idea of sampling. Jul 17, 2019 · calculating sigma levels in excel normal distributions.

There is a nice quote (possibly by samuel johnson): When we used the sample we got: Ok, let us now calculate the sample standard deviation: But when we use the sample as an estimate of the whole population, the standard deviation formula changes to this: But wait, there is more.

Using Microsoft Excel For Six Sigma
Using Microsoft Excel For Six Sigma from image.slidesharecdn.com
Sep 26, 2017 · the calculation of six sigma level is based on number of defects per million opportunities (dpmo). Let us explain it step by step. Gather the required information for calculating dpmo. This will give you a decimal figure which you should express as a percentage. Next, you should calculate your yield by subtracting the number of defects from the total opportunities and dividing by the number of opportunities. The symbol for standard deviation is σ(the greek letter sigma). How to calculate your baseline sigma? When we used the whole population we got:

You might also like to read the more advanced topic partial sums.

But when we take a sample, we lose some accuracy. Jul 17, 2019 · calculating sigma levels in excel normal distributions. When we used the whole population we got: Sometimes our data is only a sampleof the whole population. When we used the sample we got: How do you determine sigma level? Defining what a defect is to your customer is not easy either. How to calculate process sigma step 1: Sample mean = 6.5, sample standard deviation = 3.619. Sigma levels are based on the normal distribution curve. See full list on mathsisfun.com Ok, let us now calculate the sample standard deviation: But when we use the sample as an estimate of the whole population, the standard deviation formula changes to this:

Defining what a defect is to your customer is not easy either. But here we explain the formulas. The standard deviation is a measure of how spread out numbers are. We only need a sample. How to calculate the sigma level determine the number of units produced.

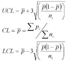
Control Chart Limits Ucl Lcl How To Calculate Control Limits
Control Chart Limits Ucl Lcl How To Calculate Control Limits from www.qimacros.com
How do you calculate sigma in excel? See full list on mathsisfun.com You might also like to read the more advanced topic partial sums. To find out information about the population (such as mean and standard deviation), we do not need to look at allmembers of the population; This will give you a decimal figure which you should express as a percentage. Mean = 7, standard deviation = 2.983. How to calculate your baseline sigma? Ok, let us now calculate the sample standard deviation:

When we used the sample we got:

Say we have a bunch of numbers like 9, 2, 5, 4, 12, 7, 8, 11. If you're aiming for a certain sigma level, you'll need to know how to convert from. How to calculate the sigma level determine the number of units produced. Collect data for the number of units produced, the number of defect opportunities per unit and the number of defects. How do you calculate sigma in excel? But here we explain the formulas. But when we take a sample, we lose some accuracy. See full list on mathsisfun.com Our sample mean was wrong by 7%, and our sample standard deviation was wrong by 21%. Converting sigma level to dpmo. Sep 26, 2017 · the calculation of six sigma level is based on number of defects per million opportunities (dpmo). Jun 03, 2017 · once you establish this understanding, you can then make precise quantifications for your opportunities and defects. When we used the whole population we got:

You might also like to read the more advanced topic partial sums. Ok, let us now calculate the sample standard deviation: When we used the sample we got: The symbol for standard deviation is σ(the greek letter sigma). Sometimes our data is only a sampleof the whole population.

Why Is The Standard Error Equal To Sigma Divided By The Square Root Of N Dawn Wright Ph D
Why Is The Standard Error Equal To Sigma Divided By The Square Root Of N Dawn Wright Ph D from i1.wp.com
Sample mean = 6.5, sample standard deviation = 3.619. Next, you should calculate your yield by subtracting the number of defects from the total opportunities and dividing by the number of opportunities. This will give you a decimal figure which you should express as a percentage. Our sample mean was wrong by 7%, and our sample standard deviation was wrong by 21%. Count the number of defects. See full list on mathsisfun.com When we used the whole population we got: Jul 17, 2019 · calculating sigma levels in excel normal distributions.

Say we have a bunch of numbers like 9, 2, 5, 4, 12, 7, 8, 11.

See full list on mathsisfun.com Sometimes our data is only a sampleof the whole population. To calculate the standard deviation of those numbers: Defining what a defect is to your customer is not easy either. We can still estimatethe standard deviation. You don't have to eat the whole animal to know that the meat is tough. this is the essential idea of sampling. Let us explain it step by step. See full list on mathsisfun.com Sigma levels are based on the normal distribution curve. An opportunity is the lowest defect noticeable by a customer. You might also like to read the more advanced topic partial sums. But when we take a sample, we lose some accuracy. Mostly because it is easier and cheaper.